Título: | PROPIEDADES GEOMETRICAS |
Subtítulo | PRODUCTO DE INERCIA |
Fecha de realización: | 02/06/2021 |
Grupo: | BASICAS |
Tema: | PROPIEDADES AREAS PLANAS |
Código: | BAS-PAP-PRG-01-03 |
1 PRODUCTOS DE INERCIA PARA UN AREA.
1.1 TEOREMA DE LOS EJES PARALELOS.
1.2 EJEMPLOS.
1.2.1 EJEMPLO 1.
1.2.2 EJEMPLO 2.
2 BIBLIOGRAFIA
HACIENDO CLICK EN LA SIGUIENTE FIGURA, PODRÁS DESCARGAR EL PRESENTE DOCUMENTO EN FORMATO PDF, MEDIANTE LA PLATAFORMA DROPBOX.
|
|
Fecha |
Autor |
Observaciones |
|
|
02/06/2021 |
Ing. Juan Carlos Miranda Rios |
Documento Base |
|
Rev.01 |
|
|
|
|
Rev.02 |
|
|
|
|
|
|
|
|
PROPIEDADES GEOMETRICAS DE UN AREA
1 PRODUCTOS DE INERCIA PARA UN AREA
El producto de inercia de un área plana se define con respecto a un conjunto de ejes perpendiculares que se encuentran en el plano del área. Entonces, con referencia al área que se muestra en la figura 10, definimos el producto de inercia con respecto a los ejes x y y como sigue:
De acuerdo con esta definición observamos que cada elemento diferencial de área dA se multiplica por el producto de sus coordenadas. Como consecuencia, los productos de inercia pueden ser positivos, negativos o cero dependiendo de la posición de los ejes xy con respecto al área.
Si el área se encuentra por completo en el primer cuadrante de los ejes (ambos ejes positivos), entonces el producto de inercia es positivo debido a que cada elemento dA tiene coordenadas x y y positivas. Si el área se encuentra por completo en el segundo y cuarto cuadrante, el producto de inercia es negativo dado que cada elemento tiene una coordenada negativa (x para el segundo cuadrante y y para el cuarto cuadrante). De manera similar, las áreas que estén por completo dentro del tercer cuadrante tienen productos de inercia positivos debido a que ambas coordenadas son negativas.
Cuando el área se encuentra en más de un cuadrante, el signo del producto de inercia depende de la distribución del área dentro de los cuadrantes.
Un caso especial se origina cuando la figura es simétrica con respecto a uno de los ejes. Por ejemplo, considere el área que se muestra en la figura 11, que es simétrica con respecto al eje x. Para cada elemento dA con coordenadas x y y existe un elemento dA igual y simétricamente ubicado con la misma coordenada y pero con una coordenada y con signo opuesto. Por tanto, los productos xy dA se cancelan entre si y la integral en la ecuación (10) desaparece. Por tanto, el producto de inercia de un área es cero con respecto a cualquier par de ejes en el cual al menos uno de ellos es un eje de simetría del área.
Al igual que el momento de inercia, el producto de inercia tiene unidades de longitud elevadas a la cuarta potencia, por ejemplo m4, mm4 o pie4, pulg4.
1.1 TEOREMA DE LOS EJES PARALELOS
Los productos de inercia de un área con respecto a conjuntos de ejes paralelos están relacionados por un teorema de los ejes paralelos que es análogo a los teoremas correspondientes para momentos rectangulares de inercia y momentos polares de inercia.
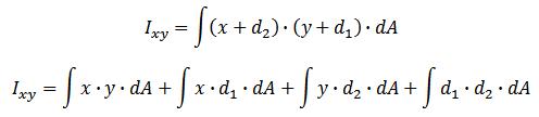
Para obtener este teorema, considere el área que se muestra en la figura 12, que tiene centroide C y ejes centroidales x’ y’. El producto de inercia Ixy con respecto a cualquier otro conjunto de ejes, paralelos a los ejes x’ y’, es:
En donde d1 y d2 son las coordenadas del centroide C con respecto a los ejes xy (por tanto, d1 y d2 pueden ser valores positivos o negativos).
La primera integral de la expresión es el producto de inercia Ix’y’ con respecto a los ejes centroidales; la segunda y tercera integrales son iguales a cero debido a que son los momentos estáticos del área con respecto a los ejes centroidales y la ultima integral es el área A puesto que d1 y d2 son valores constantes . Por tanto, la ecuación anterior se reduce a:
Esta ecuación representa el teorema de los ejes paralelos para productos de inercia y podemos enunciarla de la siguiente manera:
El producto de inercia de un área con respecto a cualquier par de ejes en su plano es igual al producto de inercia con respecto a ejes centroidales paralelos más el producto del área y las coordenadas del centroide con respecto al par de ejes.
1.2 EJEMPLOS
1.2.1 EJEMPLO 1
Determine el producto de inercia de la sección mostrada en la figura con respecto a los ejes coordenados señalados.
Solución.
Para resolver este problema, tomemos un elemento diferencial de área como se muestra en la figura.
En consecuencia, el dA estará dado por:
Aplicando el teorema de Pitagoras al triangulo formado por (x, y, r)
El producto de inercia estará definido por
Donde x, y representan la distancia respecto a cada eje coordenado del centroide del elemento diferencial de área, por lo cual, x = x/2 y y = y.
Entonces:
1.2.2 EJEMPLO 2
Determine el producto de inercia de la sección L mostrada en la figura, con respecto a los ejes coordenados señalados.
Solución.
Existen varios procedimientos para resolver este problema, para nuestro caso, determinaremos el producto de inercia del cuadrado b x b y le restaremos el producto de inercia de la parte vacía, entonces:
El producto de inercia del cuadrado b x b es igual a:
El producto de inercia de la sección vacía, es decir del recuadro de color verde con respecto a los ejes coordenados será igual a, por el teorema de ejes paralelos:
El producto de inercia de la sección L será igual a:
2 BIBLIOGRAFIA
- Mecánica de Materiales – James M. Gere, Barry J. Goodno – 7ma Edición
- Mecánica de Materiales – Russell C. Hibbeler – 8va Edición

Gracias por compartir el proceso.
ResponderEliminar