|
Título: |
PROPIEDADES GEOMETRICAS |
|
Subtítulo |
CENTROIDE DE
UN AREA |
|
Fecha de
realización: |
25/05/2021 |
|
Grupo: |
BASICAS |
|
Tema: |
PROPIEDADES AREAS PLANAS |
|
Código: |
BAS-PAP-PRG-01-01 |
PROPIEDADES GEOMETRICAS DE UN AREA
1 CENTROIDE DE UN AREA
1.1 DEFINICION
De manera formal, se entiende por centroide de un área como aquel punto que define el centro geométrico del área. En otras palabras, para explicarlo de una manera más comprensible, entiéndase centroide como aquel punto donde podemos equilibrar una placa delgada homogénea de una sección determinada, apoyada sobre la punta de un lápiz, tal como se muestra en la figura 1.
Para expresarlo matemáticamente, usemos como referencia un elemento de área que tenga una forma arbitraria donde el centroide se halle ubicado en el punto C (Figura 2,a). Las coordenadas del punto C, con respecto a un sistema cartesiano x y y, estarán definidas por los términos x y y.
Si tomamos una porción diferencial del elemento de tamaño dA (Figura 2,b), el área de la figura geométrica estará definida por la siguiente integral:
Asimismo, si definimos los Momentos Estáticos, como la suma de los productos de las áreas diferenciales por sus respectivas coordenadas. Los momentos estáticos de área con respecto a los ejes x y y estarán dados por:
Entonces, las coordenadas y del centroide C serán iguales a los momentos estáticos divididos entre el área de la figura geométrica, es decir:
Si las fronteras del área están definidas por expresiones matemáticas simples, podemos evaluar las integrales que aparecen en las ecuaciones (1.a) y (1.b) en forma cerrada y de allí obtener formulas para el centroide. En general, las coordenadas del centroide pueden ser positivas o negativas, dependiendo de la posición del centroide con respecto a los ejes de referencia.
La ubicación del centroide para algunas áreas puede especificarse parcial o totalmente mediante el uso de las condiciones de simetría. En los casos donde el área tiene un eje de simetría, el centroide del área se encuentra a lo largo de este eje debido a que el momento estático con respecto a un eje de simetría es igual a cero. Por ejemplo, el centroide del área simétrica simple que se muestra en la figura 3 debe estar sobre el eje x, que es el eje de simetría. Por tanto, para localizar el centroide C solo se debe calcular una coordenada.
Si un área tiene dos ejes de simetría, como se ilustra en la figura 4,a, la posición del centroide se puede determinar por inspección debido a que se encuentra en la intersección de los ejes de simetría.
Un área del tipo mostrado en la figura 4,b es simétrica con respecto a un punto. No tiene ejes de simetría, pero existe un punto (denominado centro de simetría) de manera que cada línea trazada por ese punto hace contacto con el área de una manera simétrica. El centroide de esa área coincide con el centro de simetría y, por tanto, el centroide se puede localizar por inspección.
1.2 CENTROIDE DE AREAS COMPUESTAS
En el trabajo de ingeniería rara vez necesitamos localizar los centroides por integración debido a que los centroides de figuras geometricas comunes ya se conocen y están tabulados. Sin embargo, con frecuencia necesitamos localizar los centroides de áreas compuestas las cuales pueden seccionarse o dividirse en varias partes que tienen figuras más simples y que se conozcan sus características. Siempre que se conozca el área y la ubicación del centroide de cada una de estas “figuras compuestas”, es posible evitar la necesidad de integrar para determinar el centroide de toda el área. En este caso deben usarse ecuaciones análogas a la ecuación 1, con la excepción de que los signos de integral se sustituyen por signos de sumatoria finita; es decir,
Aquí la ubicación del centroide representan las distancias algebraicas o coordenadas x y y para el centroide de cada parte compuesta i y ΣAi representa la suma de las áreas de las partes compuestas o simplemente el área total. En particular, si un orificio o una región geométrica que no tiene material se encuentra dentro de una parte compuesta, el orificio se considera como una parte compuesta adicional que tiene un área negativa. Además, como se mencionó anteriormente, si el área total es simétrica respecto a un eje, el centroide del área se encuentra en el eje.
1.3 EJEMPLO
1.3.1 EJEMPLO 1
Para el elemento de sección triangular mostrado en la figura, determine el centro de gravedad de la misma y su ubicación con respecto a los ejes señalados.
Para resolver este problema, primeramente dividamos el triangulo en dos partes (1) y (2), y de cada parte será necesario determinar la ecuación de la recta que definen los punto OA y AB.
Solución:
De conceptos de geometría analítica, se conoce que la ecuación de la recta entre dos puntos esta definido por:
Entonces para:
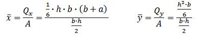
Por la definición de centroide sabemos que los Momentos Estáticos están dados por:
Para Qx:
Para Qy:
Es necesario notar, que el calculo de Qy, el termino y de la integral se lo dividió entre dos, puesto que este termino hace referencia a la ubicación del centroide del segmento diferencial en análisis que para nuestro caso es y/2.
Ahora tenemos que la ubicación del centroide esta definido por:
Entonces:
1.3.2 EJEMPLO 2
Con el fin de mejorar la capacidad de carga de un perfil I con designación W 8 x 24, se soldaran dos pletinas en el ala superior e inferior de la misma, tal como muestra la figura. Determine la ubicación del nuevo centroide de la sección compuesta.
Solución.
Para resolver este problema, primeramente debemos conocer las propiedades del perfil W 8 x 24, el cual puede ser obtenido de las tablas que proporciona la AISC (American Institute Steel Construction). El termino W hace referencia a la forma del perfil, en nuestro caso I, 8 es la altura aproximada del perfil y 24 es su peso medido en lb/pie.
Para nuestro caso:
Área de la sección 7.08 pulg.2
Altura del perfil I 7.93 pulg.
Ancho de las alas del perfil I 6.495 pulg.
Espesor del alma 0.245 pulg.
Espesor de las alas 0.4 pulg
Al ser un perfil simétrico con respecto al eje x, la ubicación del centroide estará al medio del perfil I, es decir:
Con respecto al eje y será necesario recurrir a la ecuación 2, por lo cual:
La tercera expresión de la ecuación es negativa debido a que la pletina se halla ubicada por debajo del eje x de referencia.
1.3.3 EJEMPLO 3
Una viga cajón será construida a partir de unas pletinas que se tiene a disposición, tal como se muestra en la figura. Determine el centroide del elemento con respecto al sistema coordenado señalado.
Solución:
Para resolver este problema, es vez de determinar el área y centroide de cada pletina en el elemento, utilizaremos un truco, para lo cual asumiremos que la sección cajón es de alma llena con dimensiones 20 x 25 cm, y a esta sección le restaremos el cuadrado interno que forman las caras internas de las pletinas, entonces:
Para la sección cajón con alma llena
Para la sección vacía al interior del cajón.
Aplicando la ecuación 2:
2 BIBLIOGRAFIA
- Mecánica de Materiales – James M. Gere, Barry J. Goodno – 7ma Edición
- Mecánica de Materiales – Russell C. Hibbeler – 8va Edición
- Manual del Ingeniero Mecánico - Marks – 10ma Edición

Muy buena información
ResponderEliminar